Electronics Project #27: Space Drop Handheld Game | Learning Electronics In The Lab With Jay Jay
You can support this channel on Patreon: patreon.com/JohnElliotV
This post is part of my video blog and you can find more information about this video.
Silly Job Title: Current Curator. I am the Current Curator!
In this video we follow the instructions to build the Space Drop handheld computer game which you can buy in kit form from here: Space Drop Solder Kit.
The kit comes with the software preinstalled on the D1 Mini microcontroller, but in this video we replace the code with our own version of the code just to see if we could. And we could! Our code is here: Space_Drop.ino.
We use the METCAL PS-900 Soldering Station for soldering.
We use the Pro’sKit SS-331H Desoldering Pump to remove the OLED screen which I accidentally installed without the spacer.
We use the MUIN Solder Fume Extractor to clear the air.
We use the Bysameyee Head-Mounted Magnifier for magnification.
We use the Scotch Titanium Scissors to chop up the packaging for scrap-booking.
We use the Hakko CHP 3C-SA Precision Tweezers for holding solder off cuts.
We use the Plato Model 170 Wire Cutter to snip off component leads.
We use the Kaisi S-160 45x30cm Repair Mat as our workspace.
Thanks very much for watching! And please remember to hit like and subscribe! :)
p.s. today I added OLED to my spell check.
Following is a product I use picked at random from my collection which may appear in my videos. Clicking through on this to find and click on the green affiliate links before purchasing from eBay or AliExpress is a great way to support the channel at no cost to you. Thanks!
DUTRIEUX 14pcs Hexagonal Socket Set![]() |
Let’s go shopping!
Old Book Teardown #24: Electronic and Radio Engineering (1955) | In The Lab With Jay Jay
You can support this channel on Patreon: patreon.com/JohnElliotV
This post is part of my video blog and you can find more information about this video.
Silly Job Title: Ohm Oracle. I am the Ohm Oracle!
In this video we have a look inside Electronic and Radio Engineering 4ed from the Father of Silicon Valley, Frederick Terman.
We have previously covered the 3rd edition of this book, here: Old Book Teardown #8: Radio Engineering 3rd Edition (1947).
Thanks very much for watching! And please remember to hit like and subscribe! :)
p.s. today I added Terman to my spell check.
Following is a product I use picked at random from my collection which may appear in my videos. Clicking through on this to find and click on the green affiliate links before purchasing from eBay or AliExpress is a great way to support the channel at no cost to you. Thanks!
Tenma 72-10505 Bench Power Supply notes |
Let’s go shopping!
The Leaky Faucet | Project 13/30 | Maxitronix 30in1 | Learning Electronics In The Lab With Jay Jay
You can support this channel on Patreon: patreon.com/JohnElliotV
This post is part of my video blog and you can find more information about this video.
Silly Job Title: Maker of Videos. I am the Maker of Videos!
In this video we do the 13th project from the Maxitronix 30in1 Electronics Project Lab Kit: The Leaky Faucet.
Here are the timing measurements we took:
| Capacitor | Resistor | Period |
|---|---|---|
| 10 µF | 470 kΩ | 3.05, 3, 2.97, 3.03, 2.98 |
| 10 µF | 100 kΩ | 0.67, 0.6, 0.8 |
| 100 µF | 100 kΩ | 7.02, 7.02, 7.15 |
| 4.7 µF | 100 kΩ | 0.43, 0.35, 0.39 |
| 4.7 µF | 470 kΩ | 1.76, 1.5, 1.56 |
We use the Rigol MSO5074 Mixed Signal Oscilloscope to look for the oscillating signal.
We use the UNI-T UTi260B Thermal Imager to check the thermals (nothing interesting to report).
We use the Carpenter Mechanical Pencil to take our notes.
We use the Kaisi S-160 45x30cm Repair Mat as our workspace.
Thanks very much for watching! And please remember to hit like and subscribe! :)
Following is a product I use picked at random from my collection which may appear in my videos. Clicking through on this to find and click on the green affiliate links before purchasing from eBay or AliExpress is a great way to support the channel at no cost to you. Thanks!
Yum Cha 16MP USB Camera![]() |
Let’s go shopping!
Mail Call #56: Tools and Components from AliExpress | Learning Electronics In The Lab With Jay Jay
You can support this channel on Patreon: patreon.com/JohnElliotV
This post is part of my video blog and you can find more information about this video.
Silly Job Title: Amp Alchemist. I am the Amp Alchemist!
In this video we take a look at what has arrived in the mail from AliExpress:
- 3.3V 5V TXS0108E 8 Channel Logic Level Converter Convert TTL Bi-directional Mutual Convert (10pcs)
- Mat Glass Tube Tracheal Adapter Nozzle Electric Desoldering Station Parts Replace Accessories For SS-331H Heating Core (White Mat, Filter, Needle)
- Wall Mounted Coat Rack Hook With Screws Heavy-Duty Hanging For Kitchen Bathroom Towel Storage Rack Black Metal Clothes BagHanger (88mm 4Pcs)
- 1pcs Rewirable Plug Socket Australian Female Socket 3 Prong Electrical Socket Grounded Rewire Socket DIY Assembled (15A female, 10A female, 10A male)
- IEC320 C14 C13 Electrical AC Socket 3 Female Male Inlet Plug Connector 3pin Socket Mount (Type 4)
- Hammer nail clip, finger safe for sliding joint pliers, hammer nail, trim nail pliers to ensure finger safety (blue)
- 0-36 Round AWG SWG Wire Gauge Thickness Ruler Gauge Diameter Stainless Steel Measurer Tool (Type A)
- Keychain Multi-tool Compact Multifunctional Keychain Gadget Portable Tool with Screwdriver Bottle Opener Camping Emergency Tool (1pcs))
- 1pc/2pcs Stainless Steel Double-Sided Bolt Gauge Card, Portable Dual-Sided Bolt Measurement Card, Nut and Bolts Thread Checker (2pcs Set)
- cute school supplies metal ruler Small frame ruler Measuring layout tool Stainless steel square square square square (1pc-S)
The integrated circuit for the TXS0108E logic level converters is labelled: YF08E 7BKG4 D7SL.
Thanks very much for watching! And please remember to hit like and subscribe! :)
p.s. today I added to my spell check.
Following is a product I use picked at random from my collection which may appear in my videos. Clicking through on this to find and click on the green affiliate links before purchasing from eBay or AliExpress is a great way to support the channel at no cost to you. Thanks!
Yum Cha IC Extractor Claw IC Chip Pickup Tool![]() |
Let’s go shopping!
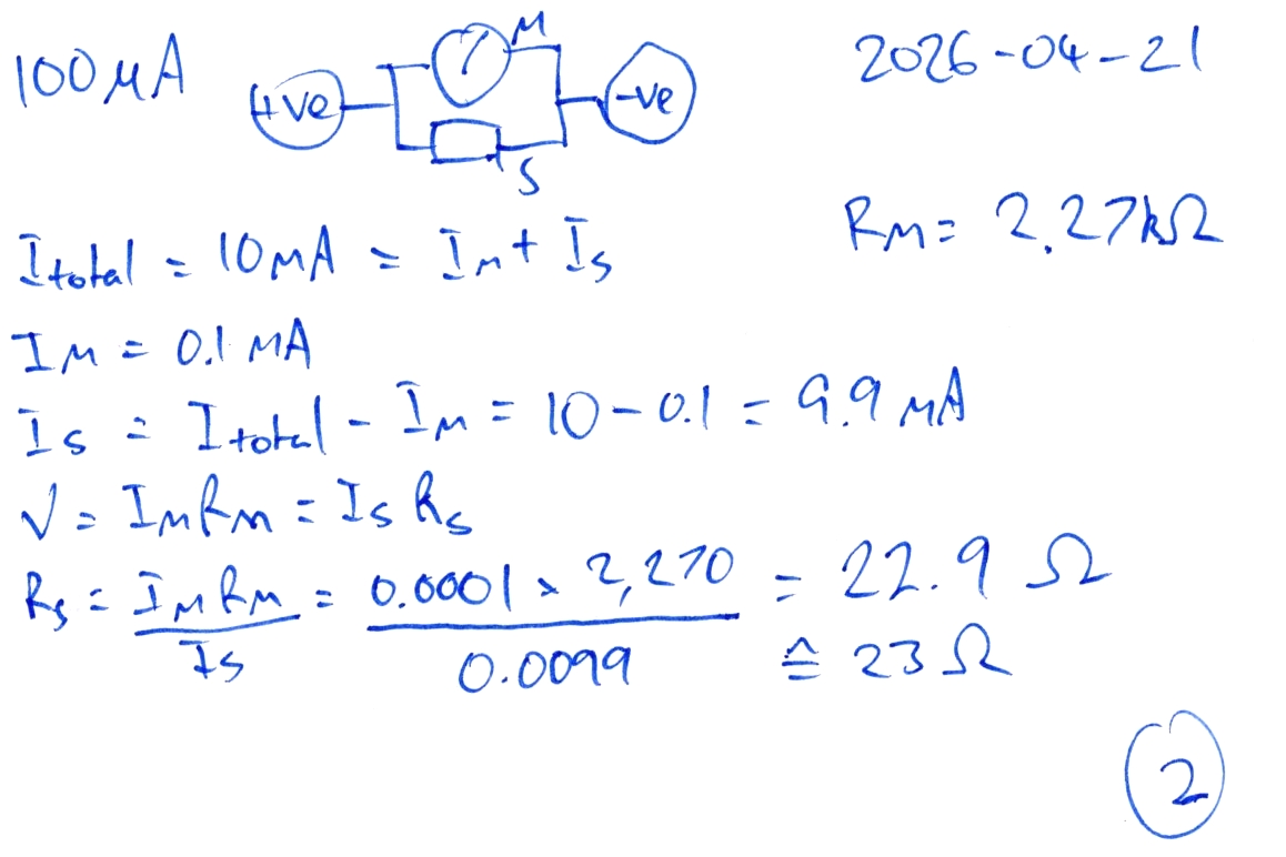
Learning the Art of Electronics: 1L.4.3 10 mA Ammeter Redux | In The Lab With Jay Jay
You can support this channel on Patreon: patreon.com/JohnElliotV
This post is part of my video blog and you can find more information about this video.
Silly Job Title: Electronics Guru. I am the Electronics Guru!
In this video we continue to work our way through Learning the Art of Electronics. In this video we return to 1L Lab: DC Circuits and revisit lab 1L.4.3 in which we made a 10 mA ammeter. This time around we do a better job of it, build two ammeters from different movements, and compare our results with an actual known-good ammeter.
As promised here are the notes:
We use the Tenma 72-10505 Bench Power Supply to provide 5 V for testing.
We use the EEVblog BM2257 Digital Multimeter to measure our resistor and as our reference ammeter.
We use the Sharp EL-546L Scientific Calculator to calculate our shunt resistance.
We use the Multicomp Pro MP701033 Resistor Decade Box as our shunt resistor.
We use the Kaisi S-160 45x30cm Repair Mat as our workspace.
Thanks very much for watching! And please remember to hit like and subscribe! :)
p.s. today I added mA to my spell check.
Following is a product I use picked at random from my collection which may appear in my videos. Clicking through on this to find and click on the green affiliate links before purchasing from eBay or AliExpress is a great way to support the channel at no cost to you. Thanks!
Yum Cha Universal Handheld Wire Stripper notes |
Let’s go shopping!
A day in the life
How Radio Waves Were Discovered
An interesting summary of the history of electromagnetic waves.
Module Monday #10: HW-390 Soil Moisture Sensor Module | In The Lab With Jay Jay
You can support this channel on Patreon: patreon.com/JohnElliotV
This post is part of my video blog and you can find more information about this video.
Silly Job Title: Sparky. I am Sparky!
Today is Module Monday and the module we’re looking at today is the HW-390 Soil Moisture Sensor Module. This is a capacitive sensor which is different to the two previous moisture sensors which were resistive.
The code for today’s demo is here: 2026-04-20-HW-390-Capacitive-Soil-Moisture.ino.
We use the Rigol MSO5074 Mixed Signal Oscilloscope to look for a waveform (there was none).
We use the EEVblog BM2257 Digital Multimeter to measure voltage and resistance.
We use the Kaisi S-160 45x30cm Repair Mat as our workspace.
Thanks very much for watching! And please remember to hit like and subscribe! :)
Following is a product I use picked at random from my collection which may appear in my videos. Clicking through on this to find and click on the green affiliate links before purchasing from eBay or AliExpress is a great way to support the channel at no cost to you. Thanks!
Yum Cha 4pcs 30mm Deep Hole Pen notes |
Let’s go shopping!
Mail Call #55: Tapo P110M Smart Plug, FNIRSI SG-002, USB-C Power and Cables | In The Lab
You can support this channel on Patreon: patreon.com/JohnElliotV
This post is part of my video blog and you can find more information about this video.
Silly Job Title: Technical Director. I am the Technical Director!
In this video we take a look at what has arrived in the mail:
- FNIRSI SG-002 Digital 4-20mA 0-10V Voltage Gerador de sinal Current Transmitter Professional Electronic Measuring Instruments (Color: SG002 With BAT)
- Tapo TP-Link Smart Wi-Fi Plug, Smart Home Safety Protection , Energy Monitoring, Remote & Voice Control, Schedule & Timer, Away Mode, Energy Bills Estimation (Tapo P110M)
- 2-Pack 20W iPhone Fast Charger with USB-C to Lightning Cable 1m, Compatible with iPhone 14/13/12/11/X/9/8, iPad, AirPods
- USB C to Lightning Cable 3Pack 6FT [Apple MFi Certified] iPhone Fast Charger Cable USB-C Power Delivery Charging Cord Compatible with iPhone 14/13/12/11/XS/Max/XR/X/8/iPad, White
We use the Scotch Titanium Scissors to cut open some packaging.
We use the Kaisi S-160 45x30cm Repair Mat as our workspace.
Thanks very much for watching! And please remember to hit like and subscribe! :)
p.s. today I added TP-Link, AirPods, and USB-C to my spell check.
Following is a product I use picked at random from my collection which may appear in my videos. Clicking through on this to find and click on the green affiliate links before purchasing from eBay or AliExpress is a great way to support the channel at no cost to you. Thanks!
ANENG AN-999S Bench Multimeter notes |
Let’s go shopping!








